Notice
Recent Posts
Recent Comments
Link
| 일 | 월 | 화 | 수 | 목 | 금 | 토 |
|---|---|---|---|---|---|---|
| 1 | 2 | 3 | ||||
| 4 | 5 | 6 | 7 | 8 | 9 | 10 |
| 11 | 12 | 13 | 14 | 15 | 16 | 17 |
| 18 | 19 | 20 | 21 | 22 | 23 | 24 |
| 25 | 26 | 27 | 28 | 29 | 30 | 31 |
Tags
- leetcode
- matrix
- binary tree
- list
- dfs
- 재귀
- 미디움
- Depth-first Search
- easy
- Medium
- 문자열
- HashTable
- 이진트리
- tree
- linked list
- 쉬움
- Array
- recursive
- backtracking
- hash table
- DP
- two pointers
- 리트코드
- Binary
- string
- binary search
- Python
- math
- 중간
- sorting
Archives
- Today
- Total
부부의 코딩 성장 일기
LeetCode 105(Construct Binary Tree from Preorder and Inorder Traversal, Python) 본문
Algorithm/LeetCode
LeetCode 105(Construct Binary Tree from Preorder and Inorder Traversal, Python)
펩시_콜라 2024. 2. 24. 19:001. 문제 링크
LeetCode - The World's Leading Online Programming Learning Platform
Level up your coding skills and quickly land a job. This is the best place to expand your knowledge and get prepared for your next interview.
leetcode.com
2. 문제 설명
- preorder, inorder에 대한 array가 주어졌을 때,
- 여기서 preorder는 이진트리의 preorder traversal (전위순회)를 의미하고,
- 전위순회란 root → left → right 순서로 순회
- inorder는 같은 트리의 inorder traversal (중위순회)를 의미한다.
- 중위순회란 left → root → right 순서로 순회
- 여기서 preorder는 이진트리의 preorder traversal (전위순회)를 의미하고,
- 이 때 이진트리를 만들어서 반환
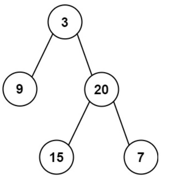
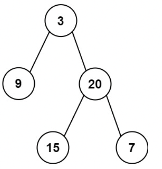
- 예시) 아래의 preorder, inorder array가 주어졌을 때,
- preorder = [3,9,20,15,7], inorder = [9,3,15,20,7]
- 이는 아래의 binary tree에 대한 순회이고,
- 이에 [3,9,20,null,null,15,7]의 root를 반환하면 된다.

3. 처음 풀이
- preorder 순회는 root → left → right로, inorder 순회는 left → root → right로 돌기 때문에,
- preorder의 가장 첫번째 값이 root.val이 되며,
- inorder의 left는 list의 root.val의 왼쪽, right는 root.val을 기준으로 오른쪽 list가 된다.
- 위의 예시로 봤을 때,
- preorder의 가장 첫번째 값인 3이 root이며,
- inorder가 [9,3,15,20,7]이므로, 3을 기점으로 왼쪽인 [9]가 3의 왼쪽 subtree이고, 오른쪽인 [15,20,7]이 오른쪽 subtree임을 알 수 있다.
- 결과적으로 TreeNode(val, leftsubtree, rightsubtree)를 반환하는 재귀함수를 아래와 같이 작성하였다.
- leftsubtree에는 left_inorder_list, left_preorder_list를 인자로 받는 buildTree함수를 넣고,
- 여기서, preorder의 경우, 0번째 element는 root이므로 1번째부터 left list 길이만큼 slicing 하면 된다.
- rightsubtree에는 right_inorder_list, right_preorder_list를 인자로 받는 buildTree함수를 넣었다.
- 여기서 preorder의 경우, 1+left list 길이 부터 slicing하면 된다.
- leftsubtree에는 left_inorder_list, left_preorder_list를 인자로 받는 buildTree함수를 넣고,
- runtime의 경우, 60% 정도 나왔는데,
- 아래 그래프를 보면 뭔가 좀 더 개선할 수 있는 다른 방법이 있는 것 같아보였다.

# Definition for a binary tree node.
# class TreeNode:
# def __init__(self, val=0, left=None, right=None):
# self.val = val
# self.left = left
# self.right = right
class Solution:
def buildTree(self, preorder: List[int], inorder: List[int]) -> Optional[TreeNode]:
if len(preorder) == 0:
return None
if len(preorder) == 1:
return TreeNode(preorder[0])
val = preorder[0]
idx=inorder.index(val)
left_len=len(inorder[:idx])
left_inorder_list = inorder[:idx]
left_preorder_list = preorder[1:left_len+1]
right_inorder_list = inorder[idx+1:]
right_preorder_list = preorder[left_len+1:]
return TreeNode(val, self.buildTree(left_preorder_list,left_inorder_list), self.buildTree(right_preorder_list,right_inorder_list))
4. 다른 풀이
- runtime 상위에 있던 다른 풀이
- inorder에 대한 index를 key로 하고 element를 value로 하는 dict을 만들어놓고,
- dfs라는 함수를 만들어서,
- root에는 preorder의 첫번째 값을 넣으면서 pop을 시키고 (root = TreeNode(preorder.pop(0))
- root.left는 dfs(l,idx-1), root.right는 dfs(idx+1,r)를 한 후 root를 반환한다.
- 여기서 위의 기존 풀이와 runtime이 차이가 나는 부분은 index를 사용하는 방식이다.
- 기존에는 index지점을 잡아서 slicing을 하고 새로운 list를 만드는데, 이는 runtime을 증가시키게 된다.
- 아래 풀이의 경우, hash table같은 방식으로, 각 value에 대한 index를 dictionary에 저장을 해두기 때문에, index를 찾는 반복적인 과정을 없애고 있어서, 더 효율적인 것!
# Definition for a binary tree node.
# class TreeNode:
# def __init__(self, val=0, left=None, right=None):
# self.val = val
# self.left = left
# self.right = right
class Solution:
def buildTree(self, preorder: List[int], inorder: List[int]) -> Optional[TreeNode]:
inorderIdx = {v:i for i, v in enumerate(inorder)}
def dfs(l, r):
if l > r:
return None
root = TreeNode(preorder.pop(0))
idx = inorderIdx[root.val]
root.left = dfs(l,idx-1)
root.right = dfs(idx+1, r)
return root
return dfs(0, len(inorder)-1)
5. 배운 점
- list slicing은 large dataset에서는 긴 연산이다.
- 매번 slicing하기보다, hash table을 사용하면 runtime이 더 효율적.
'Algorithm > LeetCode' 카테고리의 다른 글
| LeetCode 113(Path Sum II, Python) (0) | 2024.02.28 |
|---|---|
| LeetCode 107(Binary Tree Level Order Traversal II, Python) (0) | 2024.02.26 |
| LeetCode 263(Ugly Number, Python) (0) | 2024.02.23 |
| LeetCode 103(Binary Tree Zigzag Level Order Traversal, Python) (0) | 2024.02.22 |
| LeetCode 102(Binary Tree Level Order Traversal, Python) (0) | 2024.02.21 |