Notice
Recent Posts
Recent Comments
Link
| 일 | 월 | 화 | 수 | 목 | 금 | 토 |
|---|---|---|---|---|---|---|
| 1 | 2 | 3 | ||||
| 4 | 5 | 6 | 7 | 8 | 9 | 10 |
| 11 | 12 | 13 | 14 | 15 | 16 | 17 |
| 18 | 19 | 20 | 21 | 22 | 23 | 24 |
| 25 | 26 | 27 | 28 | 29 | 30 | 31 |
Tags
- Medium
- Python
- Binary
- hash table
- Depth-first Search
- binary tree
- tree
- 쉬움
- sorting
- Array
- string
- two pointers
- 미디움
- 재귀
- dfs
- DP
- 중간
- binary search
- 문자열
- list
- linked list
- HashTable
- matrix
- easy
- 이진트리
- 리트코드
- recursive
- backtracking
- math
- leetcode
Archives
- Today
- Total
부부의 코딩 성장 일기
LeetCode 107(Binary Tree Level Order Traversal II, Python) 본문
Algorithm/LeetCode
LeetCode 107(Binary Tree Level Order Traversal II, Python)
펩시_콜라 2024. 2. 26. 19:001. 문제 링크
LeetCode - The World's Leading Online Programming Learning Platform
Level up your coding skills and quickly land a job. This is the best place to expand your knowledge and get prepared for your next interview.
leetcode.com
2. 문제 설명
- 이진트리의 root가 주어졌을 때, bottom-up level order traversal을 반환
- 여기서 bottom-up leverl order란 가장 bottom순서부터 node의 왼쪽부터 오른쪽까지 list에 쌓아서 반환
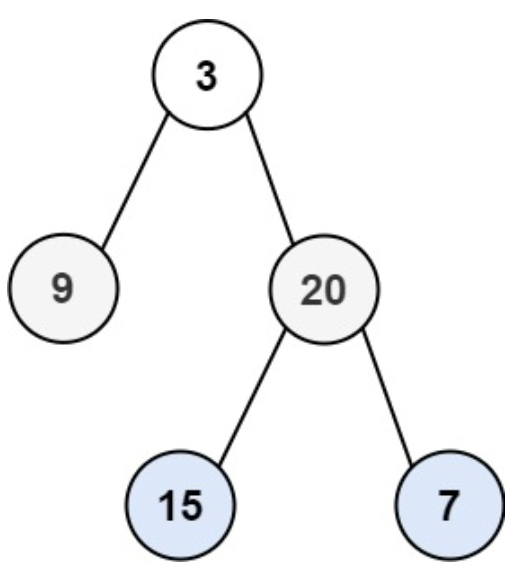
- 예시) 아래와 같은 tree가 주어졌다면, (input root = [3,9,20,null,null,15,7]
- 가장 아래 level의 node 부터 list로 쌓아나간다.
- output = [[15,7], [9,20],[3]]

3. 처음 풀이
- 해당 문제는 기존 Binary Tree Level Order Traversal I의 결과값을 거꾸로 reverse한 것과 같아서,
- 우선 기존 풀이처럼 root node부터 쌓고, return할 때 [::-1]를 통해 결과값을 거꾸로 뒤집었다. (분명 더 좋은 풀이가 있을 거라 생각하면서 우선은..) 기존에 풀었던 풀이는 아래와 같다.
- 먼저 root와 level을 인자로 받는 helper 함수를 만들어두고, level_hist 라는 빈 dictionary에 level 마다 node값을 append하는 방식으로 작성하였다.
- root.val을 level_hist[level]에 추가하고,
- root.left과 root.right는 level이 한 층 더해지는 것이므로, helper(root.left, level+1)와 helper(root.right, level+1)를 호출하고,
- 최종적으로 list(level_hist.values())를 반환했다.
- 그래서 이번 문제에서는 list(level_hist.values())[::-1]를 하니, runtime이 80%정도로 통과하였다.
- 먼저 root와 level을 인자로 받는 helper 함수를 만들어두고, level_hist 라는 빈 dictionary에 level 마다 node값을 append하는 방식으로 작성하였다.
# Definition for a binary tree node.
# class TreeNode:
# def __init__(self, val=0, left=None, right=None):
# self.val = val
# self.left = left
# self.right = right
class Solution:
def levelOrderBottom(self, root: Optional[TreeNode]) -> List[List[int]]:
level_hist = {}
def helper(root,level):
if root is None:
return
if level in level_hist:
level_hist[level] += [root.val]
else:
level_hist[level] = [root.val]
helper(root.left, level+1)
helper(root.right, level+1)
helper(root,0)
return list(level_hist.values())[::-1]
4. 다른 풀이
- 뭔가 기존 풀이의 순서를 뒤집기만 해서 반환해서 야매풀이같다는 생각이 들었는데, submissions를 보면 비슷하게 접근한 풀이들이 많았다.
- reverse나 [::-1]을 사용하지 않고 Collections 모듈의 deque를 사용한 경우도 있었다.
- appendleft 메소드를 사용해서 레벨 결과를 앞쪽에 추가해서 굳이 [::-1]이나 reverse를 통해 순서를 뒤집을 필요가 없어진다.
- 추가적으로 helper 함수를 써서, 재귀를 돌린 위의 방식과 달리,
- root자체를 deque에 쌓아두고, q에 값이 있을 동안 for문을 돌리면서, popleft한 값을 level에 append하는 식으로 level별 node list를 만든다음에,
- res list의 가장 왼쪽에 해당 list를 append하는 식으로 작성되어있다.
# Definition for a binary tree node.
# class TreeNode:
# def __init__(self, val=0, left=None, right=None):
# self.val = val
# self.left = left
# self.right = right
class Solution:
def levelOrderBottom(self, root: Optional[TreeNode]) -> List[List[int]]:
res = deque()
if not root:
return res
q = deque()
q.append(root)
while q:
level = []
for i in range(len(q)):
curr = q.popleft()
level.append(curr.val)
if curr.left:
q.append(curr.left)
if curr.right:
q.append(curr.right)
if level:
res.appendleft(level)
return res
5. 배운 점
- deque
- 언젠가 deque를 사용해서 문제 풀어보기!
'Algorithm > LeetCode' 카테고리의 다른 글
| LeetCode 268(Missing Number, Python) (1) | 2024.03.01 |
|---|---|
| LeetCode 113(Path Sum II, Python) (0) | 2024.02.28 |
| LeetCode 105(Construct Binary Tree from Preorder and Inorder Traversal, Python) (1) | 2024.02.24 |
| LeetCode 263(Ugly Number, Python) (0) | 2024.02.23 |
| LeetCode 103(Binary Tree Zigzag Level Order Traversal, Python) (0) | 2024.02.22 |